Как рассчитать доходность облигации (к погашению, к оферте)?
Доходность к погашению (оферте) - реальная доходность актива, если его держать до срока погашения (оферты). При расчете учитывается ставка купона, величина купонного периода, покупная цена, цена при погашении, срок, оставшийся до погашения. Можно сказать, что доходность при погашении равна дисконтной ставке, при которой будущие доходы будут эквивалентны сегодняшней стоимости ценной бумаги; также называется «внутренней ставкой доходности».
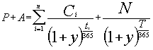
Эффективная доходность к погашению корпоративных облигаций определяется из следующего уравнения (вычисление осуществляется приближенными численными методами):

где:
P - цена в процентах от номинала,
A - накопленный купонный доход, на момент покупки выпуска,
ti - срок до выплаты i-го купона,
Ci - размер i-го купона в процентах от номинала,
N - номинал выпуска,
T - срок до погашения/оферты,
y - эффективная годовая доходность к погашению, выраженная в долях единицы.
Самый простой способ – это при расчете доходности к погашению (оферте) использовать программу Excel, в которой есть функция XIRR, умеющая подбирать внутренний процент для денежного потока неравной периодичности и величины. Эта функция содержится в списке формул и называется =ЧИСТВНДОХ. Рассчитывается она по формуле, указанной выше. Если в списке формул Вашего Excel такой функции нет, ее необходимо загрузить следующим образом: В верхнем меню зайти в раздел «Сервис», в нем есть подменю «Надстройки» в появившемся списке надстроек выбрать пункт «Пакет анализа» и нажать «ОК». После этого в списке функций (меню «Вставка» подменю «Функция») должен появиться ЧИСТВНДОХ.
Для расчета доходности к погашению (оферте) нам необходимы следующие данные: Текущая дата, цена последней сделки (или лучший офер), НКД на текущую дату, номинал, даты и размеры купонных выплат, дата и цена оферты, дата погашения.
Пример расчета: рассчитаем на текущую дату (10.06.03) доходность к погашению и доходность к оферте по облигациям «АЛРОСА19». Номинал облигации: 1000 руб.
Для начала расчет доходности к погашению:
Текущая цена: 114.9%, для удобства переведем сразу в рубли: (114.9/100)*1000 = 1149 руб. НКД = 20.6 руб.
Даты ближайших купонов:24.10.2003; 23.04.2004; 23.10.2004; 23.04.2005; 23.10.2005
Размеры купонов: 80.22; 79.78; 80.22; 79.78; 80.22 руб.
Дата погашения: 23.10.2005 (как правило, совпадает с датой последнего купона)
На рабочем листе Excel строим простую табличку, в первом столбце – денежные потоки, во втором столбце - даты.
Если мы покупаем облигации «АЛРОСА19» в текущую дату 10.06.03, то денежный поток будет отрицателен и равен нашим расходам: Текущая цена + НКД = 1149+20.6 = - 1169.6 руб. В дату последнего купона поток будет равен размеру последнего купона + номинал = 1080.2 руб.
Соответственно у нас получилась следующая таблица:
|
-1169.6 |
10.06.2003 |
|
80.22 |
24.10.2003 |
|
79.78 |
23.04.2004 |
|
80.22 |
23.10.2004 |
|
79.78 |
23.04.2005 |
|
1080.22 |
23.10.2005 |
Следующий шаг: вызываем из Мастера формул функцию ЧИСТВНДОХ. В нем три строки для данных:
Значения:
Даты:
Предп.
Мышью выделяем соответствующие массивы данных: Значения: -1169.6 ……1080.22; Даты: 10.06.2003 …..23.10.2005; Поле «Предп.» можно оставить пустым, предположение - это начальное приближение для подбора, по умолчанию оно равно 10%.
Нажав на «ОК» мы получим готовый расчет, равный 9.08% - это и есть текущая доходность к погашению годовых.
Расчет доходности к оферте:
По облигациям «АЛРОСА» предполагается оферта равная 97.2% от номинала на дату 24.10.2003 Расчет аналогичный предыдущему. Строим таблицу: первый поток равен -1169.6 руб., последний равен цене оферты в рублях + размер купона = 972+80.22 = 1052.22 руб.
Соответственно у нас получилась следующая таблица:
|
-1169.6 |
10.06.2003 |
|
1052.22 |
24.10.2003 |
Точно также вызываем функцию ЧИСТВНДОХ, вводим данные, получаем: -24.71% - это текущая доходность к оферте
